Даташиты (Datasheets)
Даташиты (Datasheets FM4738W) электронных компонентов
Даташит поиск по электронным компонентам в формате pdf на русском языке. Бесплатная база содержит более 1 000 000 файлов доступных для скачивания. Воспользуйтесь приведенной ниже формой или ссылками для быстрого поиска (datasheet) по алфавиту.Если вы не нашли нужного Вам элемента, обратитесь к администрации проекта .
Более 1 000 000 datasheetsнапример: LM317
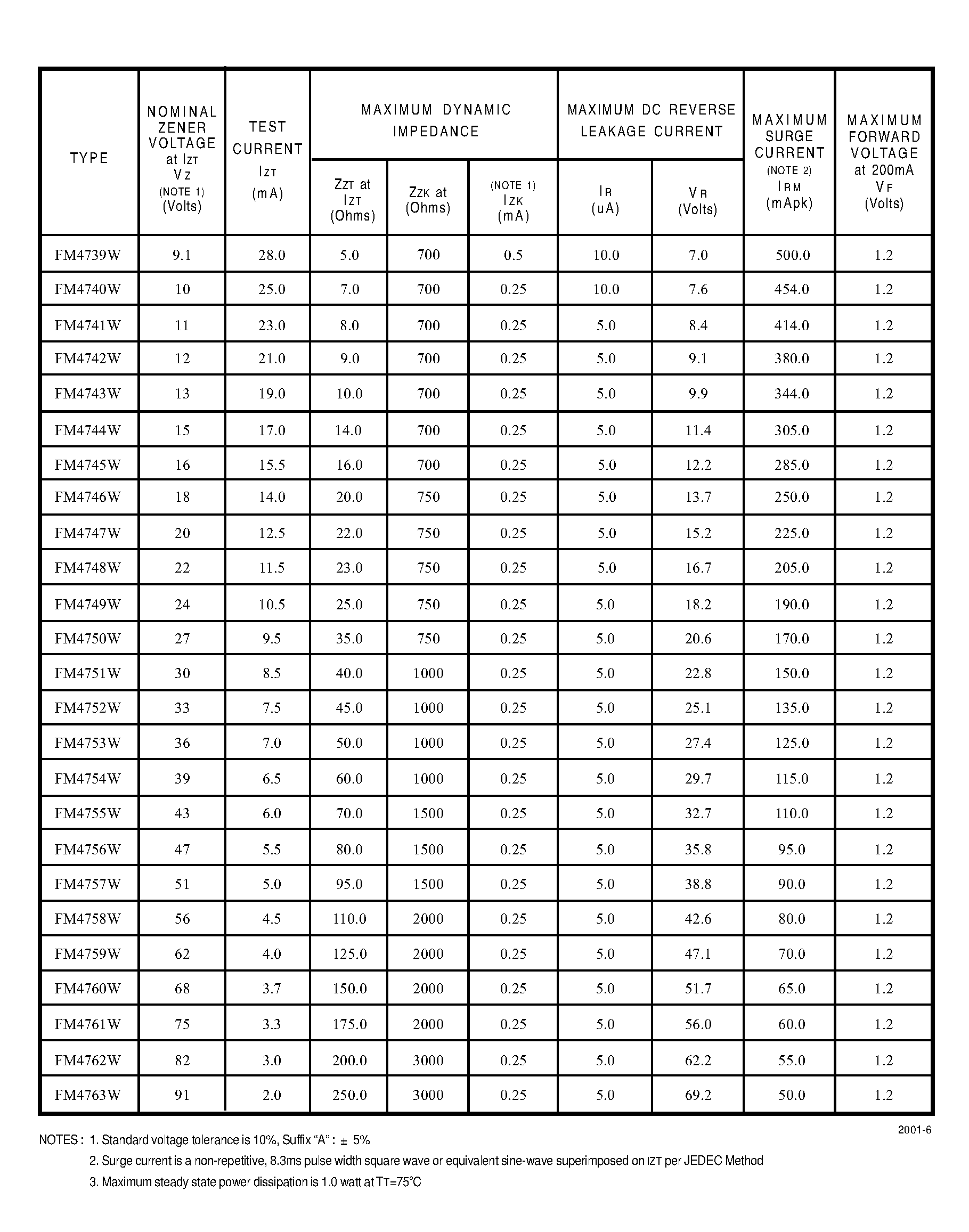
FM4738W-SURFACE MOUNT ZENER SILICON RECTIFIER (VOLTAGE RANGE - 6.2 TO 91.0 Volts Steady State Power- 1.0 Watt)


