В марте 2003 г. копания GOOD WILL Instek закончила разработку новой серии цифровых осциллографов и начиная с апреля этого года они могут быть доступны и для российских пользователей.
Напомним, что с отказом от производства аналоговых осциллографов такими компаниями как Tektronix и Agilent Technologies и с послекризисными финансовыми трудностями производителей аналогичных средств измерения в Корее, компания GOOD WILL Instek заняла прочное первое место в мире по производству аналоговых осциллографов с полосой пропускания до 200 МГц.
Естественно, конструкторы компании GOOD WILL Instek, занимающиеся разработкой осциллографов не могли обойти вниманием такое важное направление как разработка цифровых запоминающих осциллографов. И три года назад был выпущен осциллограф GDS-830, это был смелое желание догнать 100МГц-овую 200-тую серию осциллографов Tektronix. Цели были достигнуты и на рынке средств измерения появился осциллограф с полосой пропускания 100 МГц, дискретизацией 100 МГц (для однократного сигнала) и 25 Гигавыборок с секунду для периодических сигналов, с длинной памяти 125К.
Главное чего старались добиться конструкторы GOOD WILL Instek - это:
- Более низкая цена по сравнению с главными конкурентами при сохранении основных технических характеристик.
- Вторая цель сделать осциллограф максимально дополненным - в основную комплектацию включались все возможные дополнительные возможности - интерфейс RS-232, принтерный порт, порт внешнего монитора, программное обеспечение. И в качестве опции дополнительно поставлялся только интерфейс GPIB.
Осциллограф, на мой взгляд, обладал только одним недостатком иногда пугающим потенциальных пользователей было то, что в качестве монитора используется монохромная ЭЛТ зеленого свечения. Хотя и этот недостаток под большим сомнением - у ЭЛТ гораздо больше графическое разрешение чаем у ЖКИ. Сравните ЖКИ Tektronix c разрешением 320 на 240 и ЭЛТ GOOD WILL Instek с разрешением 640 на 480. Кстати, Agilent Technologies до сих пор в своих осциллографах 54- серии использует монохромную ЭЛТ.
Но веяние времени берет свое и следующим шагом конструкторов компании GOOD WILL Instek стала разработка малогабаритного осциллографа с ЖК дисплеем (как модели с черно-белым так и цветным экраном) с полосой пропускания 150 МГц и 250 МГц. И не будем делать тайны, основной целю также стало - предложить рынку средств измерения модели конкурентные по цене и возможностям новым моделям осциллографов копании Tektronix 1000 и 2000 серий.Итак, в настоящий момент мы можем предложить новые модели цифровых осциллографов компании GOOD WILL Instek, с краткими возможностями это:
- GDS-820 - полоса пропускания 150 МГц, частота дискретизации 100Мвыбсек, эквивалентная частота дискретизации 25Гвыбсек, длина памяти 125К, дисплей черно-белый, без возможности подключения к ПК.
- GDS-820S - полоса пропускания 150 МГц, дискретизация 100Мвыбсек, эквивалентная дискретизация 25Гвыбсек, длина памяти 125К, дисплей черно-белый, в штатной комплектации интерфейсы RS-232, USB, LPT; интерфейс GPIB - опция.
- GDS-820C - полоса пропускания 150 МГц, частота дискретизации 100Мвыбсек, эквивалентная частота дискретизации 25Гвыбсек, длина памяти 125К, дисплей цветной, в штатной комплектации интерфейсы RS-232, USB, LPT; интерфейс GPIB - опция.
- GDS-840S - полоса пропускания 250 МГц, частота дискретизации 100Мвыбсек, эквивалентная частота дискретизации 25Гвыбсек, длина памяти 125К, дисплей черно-белый, в штатной комплектации интерфейсы RS-232, USB, LPT; интерфейс GPIB - опция.
- GDS-840C - полоса пропускания 250 МГц, частота дискретизации 100Мвыбсек, эквивалентная частота дискретизации 25Гвыбсек, длина памяти 125К, дисплей цветной, в штатной комплектации интерфейсы RS-232, USB, LPT; интерфейс GPIB - опция.
Внешний вид осциллографа серии GDS с черно-белым и цветным ЖК индикатором представлены ниже

Внешний вид осциллографа серии GDS (GDS-820C) с черно-белым ЖК индикатором

Внешний вид осциллографа серии GDS (GDS-820) с цветным ЖК индикатором
Для более подробного анализа достоинств и недостатков цифровых осциллографов указанных выше, разъяснения основных технических характеристик цифровых осциллографов и сравнения их с ближайшими конкурентами - осциллографами Tektronix 1000 и 2000-серий обратимся немного к теории.
Основным параметром любого осциллографа является полоса пропускания - частота при которой амплитуда входного сигнала, поддерживаемой стабильной по уровню, уменьшится на экране осциллографа на 3 dB (или до уровня 0,7 от начальной амплитуды), для наглядности это демонстрируется на рис. 1.

Рис. 1. Полоса пропускания
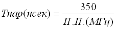
Второстепенным параметром связанным с полосой пропускания является время нарастания - это время в течении которого, по экрану осциллографа, импульс с абсолютно крутым фронтом, изменяется от уровня 0,1 до уровня 0,9. Полоса пропускания связана с временем нарастания формулой:
, (1)где Тнар - время нарастания в наносекундах, П.П.- полоса пропускания осциллографа в МГц.

Рис. 2
Очевидно, что чем больше полоса пропускания и меньше время нарастания, тем лучше - сигнал большей частоты возможно наблюдать на экране осциллографа без искажения.
Tektronix предлагает осциллографы с полосой пропускания 60, 100 и 200 МГц.
GOOD WILL Instek - 150 и 250 МГц, так, что цифры говорят сами за себя. В дальнейшем, как близкие по ТТД будем сравнивать осциллографы 150 МГц GW Instek и 100МГц Tektronix; 250 МГц GW Instek и 200МГц Tektronix. Сравнение, конечно не полное, но что делать если GW Instek на выпускает осциллографов с полосой 100МГц, а Tektronix не выпускает осциллографов с полосой 150МГц.
Основным недостатком всех цифровых осциллографов является, то что они работают не в реальном масштабе времени. Что это означает? На рис. 3 приведен схематический рисунок отображения сигнала аналоговым осциллографом, цветное поле обозначает область рисунка, отображаемую на экране (кадр). Задержка между кадрами составляет время обратного хода луча и регулируемую временную задержку (именуемую в России "стабильность" за рубежом "HOLD") запуска развертки для получения стабильной синхронизации. Это время достаточно мало по сравнению с временем развертки и поэтому если сигнал от кадра к кадру изменяется, это изменение немедленно отображается на экране, это и есть отображение сигнала в реальном времени. Динамика сигнала как по-вертикали, так и по -горизонтали соответствует изменениям входного сигнала. За это многие и любят аналоговые осциллографы!!!

Рис. 3. Схематический рисунок отображения сигнала аналоговым осциллографом
Цифровой осциллограф использует абсолютно другой принцип работы. Входной сигнал, в размере выбранного кадра, пройдя все входные усилители и аттенюаторы поступает на АЦП, где преобразуется в цифровую форму и поступает во внутреннюю память для дальнейшей обработки (привязки к развертке, выводу на экран, измерение параметров и т.д.), время этой обработки достаточно велико по сравнению с временем кадра, задержка при выводе на экран получается достаточно большая, часть информации об изменении сигнала между кадрами теряется бесследно (см.рис.4). Это и есть отображение входного сигнала в нереальном масштабе времени - главный недостаток всех цифровых осциллографов. Его можно попытаться сгладить, но избежать нельзя!

Рис. 4. Схематический рисунок отображения сигнала цифровым осциллографом
Итак, первое искажение сигнала возникает при дискретизации входного сигнала в АЦП. Чаще всего в цифровых осциллографах используются 8-и разрядные АЦП - это 256 отсчетов по амплитуде, что вполне достаточно для исследования сигнала. Тут GW Instek и Tektronix идут в ногу - 8-и разрядное АЦП и ни бита больше!

Рис. 5
Но как входной сигнал записывается в АЦП? Тут пути разных производителей расходятся. Самый простой способ - выбрать как можно большую частоту дискретизации (исходя из соображений целесообразности и полосы пропускания) и записать их в память. Такая дискретизация, с жестко установленным временем между точками дискретизации, называется периодической (или регулярной) и используется в осциллографах Tektronix (1 ГГц для 100 МГц осциллографов). Недостатком такого способа является то, что информация между точками дискретизации теряется безвозвратно, не смотря на высокую скорость дискретизации (см. рис 5 и 6) и объем внутренней памяти в которой происходит дальнейшая обработка ограничен (но об этом немного ниже). Достоинством - простота и самое главное возможность исследовать однократные сигналы с той же достоверностью, что и периодические.

Рис. 6
Естественно, получить пропадание точек на экране, как показано на рис.6, достаточно сложно, но этот "дефект заложен конструктивно".GW Instek в своих моделях использует другой способ дискретизации входного сигнала - нерегулярной дискретизации. Дискретизация входного сигнала происходит с частотой 100 Меговыборок в секунду, причем за каждый период развертки точки дискретизации выбираются хаотически и повторные попадания в ранее выбранные точки исключаются. За количество N периодов развертки на периодическом сигнале не остается точек не подвергшихся дискретизации, включая мелкие детали (см. рис.7 и 8). Достоинством такого способа является возможность использовать "длинную" память и большая достоверность воспроизведения периодических сигналов. Недостатком - возможность исследования однократных сигналов только с частотой до 7,5 МГц (необходимо как минимум 20 точек для отображения сигнала, при частоте входного сигнала 150 МГц).
Рис. 7

Рис. 8
Демонстрируя возможность измерения однократных сигналов обратимся к рис 9. и 10. Рис 9 представляет собой сигнал частотой 30 МГц на однократной развертке - отчетливо видны существенные искажения сигнала. На рис 10 сигнал частотой 5 МГц - существенные искажения, как видно отсутствуют.
![]() | ![]() |
| Рис. 9 | Рис. 10 |
Картина для осциллографов Tektronix совсем иная, за счет высокой частоты дискретизации однократные сигналы передаются практически без искажения, так на рис. 11 и 12 изображены сигналы частотой 100 МГц и 70 МГц, соответственно на однократной развертке.
![]() | ![]() |
| Рис. 11 | Рис. 12 |
Отметим что это существенное преимущество Tektronix перед GOOD WILL Instek, и похоже единственное.
Как уже было указанно выше основным недостатком цифровых осциллографов является потеря части полезного сигнала во время его обработки. Рис. 13 еще раз демонстрирует этот недостаток, часть сигнал отображаемого на экране выделена окном, отчетливо виден кусок сигнала который никогда не будет виден пользователю.

Рис. 13
Возможно ли устранить этот недостаток? А что если попробовать как бы растянуть окно, в котором отображается сигнал на гораздо большую площадь сигнала, как это показано на рис.14?

Рис. 14
Очевидно, что чем больше внутренняя память, тем более "длинную" часть входного сигнала она позволяет записать и соответственно исследовать ее без потери полезной информации. Следует отметить, это экран осциллографа физически не становится длиннее, его размер остается без изменения, сигнал отображены на рис.14 на самом деле сжат по временной оси, но записав сигнал во внутреннюю память имеется возможность растянуть его в тысячи (!!!) раз и после этого исследовать все его участи просто перемещая по оси времени. Чем больше объем внутренней памяти, тем более длинный кусок сигнала можно в него записать и соответственно исследовать без пореи информации. Это и есть разъяснение термина "длинна памяти". Осциллографы GW Instek используют длину памяти 125К, в то время как осциллографы Tektronix всего 2,5К! Преимущество налицо! В качестве примера возьмем сигнал представляющий собой пачки импульсов с большим периодом повторения. Если время развертки установить таким образом, что бы был виден период пачки - идентифицировать, что внутри пачки невозможно. Для того, что бы исследовать сигнал внутри пачки, сигнал необходимо запомнить и растянуть по оси времени, а вращая регулятор смещения луча по-горизонтали можно просмотреть весь сигнал от начала до конца с индикацией времени от начала запуска. Рис. 15 и 16 демонстрируют осциллограммы этого сигнала. Рис.15-а демонстрирует отображение сигнала осциллографом GDS-820, сначала в исходном виде, потом растянутый в 200 раз и на рис.15-б растянутый в 2000 раз! Как видно, искажения сигнала прямоугольной формы отсутствуют. Рис.16. демонстрирует аналогичные операции с осциллографом TDS-2012; при растяжке сигнала в 200 раз искажения сигнала таковы, что реальную форму сигнала идентифицировать невозможно! Растяжка же в 2000 просто неуместна! Здесь Tektronix показывает такую же слабость, как GOOD WILL Instek при однократной развертке!

Рис. 15а

Рис. 15б

Рис. 16
Это пример наглядно демонстрирует преимущества длинной памяти.
Наличие "длинной" памяти и возможность изменения ее длины, дает возможность манипуляции со скоростью дискретизации в широких пределах, особенно при исследовании сигнала в диапазоне времени развертки до 20 мксек, при уменьшении времени развертки объем памяти автоматически сокращается. Наличие большого объема внутренней памяти и применение передовых принципов обработки сигнала дает возможность получить эквивалентную частоту дискретизации периодических сигналов до 25 Гига выборок в секунду. Эквивалентная частота дискретизации связана с длинной памяти формулой:
, (2)где Fэчд - эквивалентная частота дискретизации, 20 - число делений на экран, для расчета времени длительности развертки на весь экран (с учетом то, что память 500 бит, т.е. в два раза больше разрешения ЖКИ 240, т.е. "длина" сигнала в два раза больше "длинны" экрана).
При длине памяти 500 бит (это аппаратное ограничение длинны памяти на развертке более 200 нсек при переходе на эквивалентную дискретизацию) и времени развертки 1 псек, и получаем Fэчд= 25 Гига выборок в секунду!
У осциллографов Tektronix, в следствии заложенного принципа обработки сигнала, нет понятия эквивалентной частоты дискретизации, он обрабатывает сигнал при реальной дискретизации и на минимальном времени развертки 5 нсек для 100МГц осциллографа частота дискретизации составляет 1 Гига выборок в секунду! Но еще раз подчеркнем понятие эквивалентной дискретизации применимо только для периодических сигналов. При исследовании однократных сигналов Tektronix обеспечивает максимальную частоту дискретизации 1 Гига выборок в секунду, а GW Instek только 100 Мега выборок в секунду.
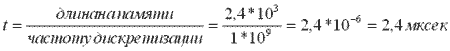
Термин "максимальная частота дискретизации" выделен не случайно. Это так же требует объяснения. Дело в том, что зачастую высокая частота дискретизации не более, чем миф, не имеющий ничего общего с реальностью и предназначен исключительно для маркетинговых ходов производителя. Давайте предположим, что исследуется сигнал на при времени развертки 1 мксек/дел, для осциллографа с экраном 10 делений и объемом памяти 2,4К, т.е время развертки от начал экрана до конца составит 10 мксек. При частоте дискретизации 1 Гвыборок в секунду этот объем памяти будет заполненен за время
, (3)То есть на экране будет отображено 24 % сигнала!!! Для наглядности это изображено на рис. 17.

Рис. 17
И при снижении скорости развертки отображаемая часть сигнала будет становить все меньше и меньше! Я думаю, найдется не много желающих пользоваться таким осциллографом. Этот эффект не секрет для разработчиков цифровых осциллографов и борьба с ним идет по пути снижения частоты дискретизации при исследовании низкочастотных сигналов, для осциллографов с размером экрана 10 делений, частота дискретизации связывается с временем развертки формулой:
, (4)Возвращаясь к предыдущему примеру не трудно определить частот дискретизации для отображения сигнала во весь экран, это 250 Мегавыборок в секунду! А при времени развертки 10 мксеке/дел частота дискретизации станет 25 Мегавыборок в секунду. Она не 1 ГГц а меньше! Это и логично - зачем на достаточно низких частотах применять высокую частоту дискретизации? Это избыточно, тем более что и память, то короткая… Так что вывод - высокая максимальная частота дискретизации - это хорошо, но реально она не всегда уж высокая! Но если все, таки хочется при этих условиях увеличить частоту дискретизации? Из приведенной выше формулы этот выход очевиден - увеличение объема внутренней памяти! Для осциллографов GOOD WILL Instek серии GDS-800 с объемом памяти 125К при аналогичных условиях частота дискретизации в обоих случаях составит 100 Мегавыборок в секунду. А возможность изменения объема памяти от 0,5К до 125К дает самые широкие возможности для манипуляции как частотой дискретизации, так и максимальной растяжкой сигнала! График соотношения частоты дискретизации для осциллографов с объемом памяти 2,5К и дискретизацией 1Гвыборок в сек и 125К и 100 Мегавыборок в секунду приведен ниже.
На графике отчетливо видно, что до времени развертки 2 мксек осциллограф GDS-820 имеет явное преимущества в частоте дискретизации по сравнению с TDS-1012 и TDS-1012 в диапазоне разверток от 2 мксек до 50 нсек он его теряет, а при развертке свыше 20 нсек, когда начинает работать эквивалентная развертка, преимущество снова за GDS-820.
Обратите внимание, что в формуле (2), при расчете эквивалентной частоты дискретизации для осциллографов серии 800 фигурирует число делений на экран 20, хотя на картинке внешнего вида четко видно, 10 делений, а в пояснениях к формуле (4) оговорено ", для осциллографов с размером экрана 10 делений". Почему?
ЖКИ экран осциллографа Tektronix, как уде упоминалось, имеет размер 10 делений на экран и 320 на 240 точек и объем буферной экрана памяти равен ровно этому числу. Если запомнить сигнал и сдвинуть по временно оси ручкой перемещения по-горизонтали, например влево, то справа отчетливо будет видна пустота - экранная память ограничена! См рис. 18.

Рис. 18
У осциллографов GOOD WILL Instek 800-серии, объем экранной памяти в два раза превышает объем информации способной выводиться на ЖКИ. То есть сигнал записан в память экрана как 20 делений на экран, но на ЖК-экран размером 10 делений выводится информация только о 10 клетках, причем перемещением луча по-горизонтали возможно просматривать и другие области экранной памяти. У Tektronix этого нет. Схематичное изображение этого процесса приведено на рис.19.Синим, красным и желтым цветом показаны перемещения физического экрана, сама же экранная область лежит в пределах от левого края синей границы, до правого края желтой границы.

Рис. 19
А если пожертвовать отображением меню в правой области экрана и выключить его то полезная площадь дисплея становится 8х12 клеток!!!
Следующий недостаток осциллографов Tektronix обнаруживается в двухканальном режиме и в режиме математической обработки сигнала - сложение или вычитание. Канал 1 (желтого цвета) имеет преимущество перед каналом 2 (синего цвета), это означает, что часть полезного сигнала канала 2 в двухканальном режиме будет "похоронена" по желтым слоем канала 1. Его не видно!!! А если добавить режим математической обработки - то суммарный сигнал, то ради чего это режим существует, будет "похоронен" под сигналом канала 2, и они оба (канал 2 и суммарный) будут задавлены сигналом канала 1! Это наглядно представлено на рис. 20 и 21.
![]() | ![]() |
| Рис. 20 | Рис. 21 |
Очевидно, что для того, чтобы без ущерба исследовать все три сигнала, каждый из них должен быть по амплитуде не более трети экрана! Осциллографы GOOD WILL Instek 800-серии избавлены от этого недостатка и при работе в двухканальном режиме оба сигнала видны четко (см. рис 22), а в режиме математической обработки - суммарный сигнал является доминирующим, все это позволяет идентифицировать входные сигналы без потерь (см. рис.23)!
![]() | ![]() |
| Рис. 22 | Рис. 23 |
Запись двух осциллограмм во внутреннюю память. Эта возможность является в настоящий момент стандартной для всех цифровых осциллографов и позволяет записывать в память до двух осциллограмм и в последствии выводить их на экран для сравнения с осциллограммам текущего времени. Одновременно на экран будут выводиться данные о состоянии органов управления при которых была произведена запись осциллограмм.
Математические функции с входными сигналом. Помимо стандартных для двухканального осциллографа режимов сложении и вычитания сигналов, осциллографы серии GDS-800 имеют возможность производить усреднение входного сигнала за количество периодов 2,4,8…256, это в том числе позволяет исследовать сигналы искаженные шумом. А наличие пикового детектора дает возможность фиксировать короткие случайные выбросы.
Автоматические и маркерные измерения. Одна из наиболее используемых функций цифрового осциллографа - это автоматические измерения. Она позволяет одним осциллографом заменить такие приборы как - вольтметр, частотомер, измеритель временных интервалов. В этом режиме GW Instek GDS-820 обеспечивает измерение 15 параметров входного сигнала. Это:
Временные параметры -частоту (F), период (Т), время нарастания, время спада, скважность импульсов, длительность импульса (положительную и отрицательную).
Амплитудные параметры - максимальное и минимальное значение (Vmax, Vmin); размах от пика до пика (Vp-p) средневыпрямленное, среднеквадратичное, среднее амплитудное значения; среднее из минимально (Vlo) и максимального значения (Vhi). Причем одновременно на экран возможно выводить до 5 измеряемых параметров по обоим каналам. То есть на экран одновременно выводится 10 результатов измерений, плюс результат измерения частоты 6-ти разрядным частотомером всегда присутствует на экране! В то время как TDS 1000 и 2000 серии отображает одновременно всего 5 измерений! См. рис24 и 25, соответственно.
![]() | ![]() |
| Рис. 24 | Рис. 25 |
Большая часть основных измеряемых параметров приведена на рис.26.

Рис. 26
Если же возникает необходимость проведения измерений отличных от стандартных - в распоряжении пользователя маркерные измерения по горизонтали и вертикали обеспечивающие как абсолютны измерения по отношению к началу осей времени и амплитуды, как и измерения между курсорами.
Режимы работы схемы синхронизации. Помимо традиционных, для большинства осциллографов, режимов запуска развертки, таких как автоматический, ждущий и однократный запуск развертки, осциллографы серии GW Instek GDS-820 обладают уникальными режимами запуска развертки это: запуск развертки по длительности импульса, задержка запуска развертки по времени, задержки запуска развертки по событию и выделении телевизионных строк.Запуск развертки по длительности импульса. В этом режиме запуск развертки происходит при длительности импульса соответствующим определенным условиям. Эти условия могут быть: длительность импульса равна заданному значению, длительность импульса не равна заданному значению, длительность импульса больше заданного значения и длительность импульса меньше заданного значения. При совпадении заданных условий для длительности импульса, происходит запуск развертки.
Задержка запуска развертки по времени. Пользователь может задать время задержки от момента появления импульса синхронизации до момента запуска линии развертки. Эту задержку возможно регулировать в пределах 100 нсек…1,3 мсек. На рис.27 приведены пояснения к этому режиму. В момент появления первого импульса запускается схема задержки схемы синхронизации, время задержки определяется пользователем и равно Т, после окончания этого времени лини развертки будет запущена первым импульсом, следующим после окончания времени задержки.

Рис. 27
Задержка запуска развертки по событию. Пользователь может задать количество событий (импульсов) от момента появления импульса синхронизации до момента запуска линии развертки. Пользователь может регулировать количество событий в пределах 2…65000. На рис.28 приведены пояснения к этому режиму. В момент появления первого импульса запускается схема задержки схемы синхронизации, количество импульсов задержки (на рис.28 их два) определяется пользователем, после окончания последнего события лини развертки будет запущена первым импульсом, следующим после окончания времени задержки (третий импульс).

Рис. 28
Выделение телевизионных строк. В этом режиме представляется возможным выделение телевизионных строк в системах телевидения PAL, SECAM, NTSC по заданному номеру стоки и поля, причем в отличии от аналоговых осциллографов яркость свечения луча в этом режиме не зависит от выбранного режима.
Быстрое преобразование Фурье (БПФ). Применение встроенного микропроцессора с высоким быстродействием позволила дополнить возможности осциллографов 800-серии такой функцией как БПФ. Это по сути цифровой программный анализатор спектра с неплохим динамическим диапазоном, он позволяет оперативно отобразить спектр сигнала присутствующего в настоящий момент на экране осциллографа и измерить параметры всех его гармоник! Пример на рис.29 демонстрирует сигнал прямоугольной формы и его спектр.

Рис. 29
Имеются в серии осциллографов GDS-800 и такие достаточно специфические возможности, как процедура обучения и режим допускового контроля.
Режим обучения. Память профилей органов управления уже давно стала неотъемлемой частью не только современных цифровых осциллографов, но и многих других средств измерения. Имеется ввиду, что во внутреннюю энергонезависимую прибора память можно записать состояние всех органов управления включая не только положение переключателей Вдел и Времядел, но уровня и режимов синхронизации, режимов работы каналов, режимов измерения и т.д. Вызов этих профилей из памяти достаточно прост и существенно сокращает время установки органов управления при проведении большого числа однотипных операций, при которых необходимо периодически устанавливать разные режимы работы осциллографа. Это необходимо, например, на сборочном конвейере или цеху. Но впервые применена привязка вызова профилей ко времени. Это означает что в режиме обучения осциллографа оператор устанавливает необходимый профиль записывает его в память, одновременно в память заносится время в течении которого это профиль должен быть активным и, если надо, какие измерения произвести, потом оператор устанавливает второй профиль и другое время активности третий и т.д. По окончании процедуры обучения в памяти прибора сохранена последовательность профилей, времени их активности и необходимого количества циклов этих профилей. При вызове этой последовательности осциллограф автоматически производит установку записанного первого профиля, держит его в течение установленного времени, потом переходит ко второму профилю, держит его в течении записанного для него времени, переходит к третьему и так до конца последовательности, эта процедура повторяется необходимое количество циклов, после чего осциллограф останавливается в последнем положении. В этом режиме у оператора нет необходимости вообще производить какие-либо манипуляции с органами управления осциллографа. Это режим еще более облегчает процесс применения осциллографа на конвейере, где как раз и встречаются периодические последовательности однотипных операций.Режим допускового контроля. В этом режиме в осциллограф по одному из портов с компьютера или в ручном режиме с передней панели осциллографа записывается маска. Это некий шаблон в пределах которого должен находиться сигнал. Если входной сигнал находится в пределах этого шаблона - осциллограф индицирует режим "годен", если какая-нибудь часть входного сигнала выходит за пределы маски - осциллограф индицирует режим "не годен". Гнездо выхода "годен не-годен" находится на задней панели. Это режим может быть применен в системах телекоммуникации для постоянного контроля за формой сигнала, или при наладке и регулировке различного оборудования, когда есть необходимость подстройки формы сигнала по определенному шаблону.
Цифровой осциллограф немыслим без возможности подключения к компьютеру здесь инженеры компании GOOD WILL продвинулись дальше конструкторов из Tektronix. В новой серии осциллографов TDS применен интерфейс USB - обеспечивающий более высокую скорость передачи, чем классический RS-232 и имеющий в последнее время большую популярность. Причем этот интерфейс поставляется в стандартной комплектации! Осциллограф GW Instek GDS-820 имеет все необходимое для подключения периферийных устройств и соединения с компьютером. Кроме уже указанного интерфейса USB, в стандартную комплектация входит интерфейс RS-232, и порт для подключения внешнего принтера LPT. Программное обеспечение так же поставляется в стандартной комплектации бесплатно. Дополнительно представляется возможным только установка порта GPIB для работы осциллографа в системе КОП. Сравнивая эти возможности с возможностями Tektronix, хочется отметить, что за все дополнительные модули связи с компьютером и программное обеспечение при покупке осциллографов Tektronix придется платить дополнительные деньги - а это около 700 долларов США.
Тыльная сторона осциллографа приведена на рис. 30.

Рис. 30
Последнее на чем хотелось бы остановиться это интерфейс осциллографа. Не понятно по каким причинам Tektronix отказался от русскоязычной поддержки интерфейса осциллографа, что несколько осложнило использование осциллографов тем, кто в школе учил немецкий и французский языки. GOOD WILL Instek наоборот "навел фокус" на Россию и включил русскоязычную поддержку как в пользовательский интерфейс 800-серии, так и в программное обеспечение!
Сравнительная таблица основных технических характеристик цифровых осциллографов GOOD WILL и Tektronix приведена ниже:
| GW GDS-820/840 | Tektronix TDS1002/2002 | Tektronix TDS1012/2012 | Tektronix TDS2022 | |
|---|---|---|---|---|
| Дисплей | ЧБ/цветной (320*240) | ЧБ/цветной (320*240) | ЧБ/цветной (320*240) | ЧБ/цветной (320*240) |
| Полоса пропускания | 150/250МГц | 60МГц | 100МГц | 200МГц |
| Частота дискретизации | 100Мв/с, 25Гв/с | 1Гв/с | 1Гв/с | 2Гв/с |
| Длина памяти | 125k/канал | 2.5k/канал | 2.5k/канал | 2.5k/канал |
| Память профилей | 15 | 5 | 5 | 5 |
| Память осциллограмм | 2 | 2 | 2 | 2 |
| Видов измерений | 15 | 11 | 11 | 11 |
| Частотомер | есть | есть | есть | есть |
| Мат. обработка | +, -, БПФ | +, -, БПФ | +, -, БПФ | +, -, БПФ |
| Время развертки | От 1нс до 10с | От 5нс до 50с | От 5нс до 50с | 2.5нс до 50с |
| Задержка запуска развертки по событию и времени | есть | нет | нет | нет |
| Запуск развертки по длительности импульса | есть | есть | есть | есть |
| Выделение ТВ строк | есть | есть | есть | есть |
| Режим обучения; допусковый контроль | есть | нет | нет | нет |
| USB/RS232 / LPT порт | есть | опция (TDS2CMA) | опция. (TDS2CMA) | опция. (TDS2CMA) |
| Средняя цена* | 50440 руб. | 83205 руб. | ||
* Приведены цены для 150 МГц осциллографов GW Instek и 100 МГц осциллографов Tektronix, все модели с цветным дисплеем; данная цена является средней по России и может отличаться от указанной в зависимости от поставщика. Для осциллографов Tektronix цена указана с программным обеспечением WSTRO и модулем TDS2CMA, поскольку эти возможности включены в стандартую комплектацию GW Instek.
Более подробные технические характеристики осциллографов GW Instek серий 820 таблице 2, а осциллографов серии 840 в таблице 3.
| Характеристики | Параметры | Значения |
| Канал вертикального отклонения | Полоса пропускания (-3 дБ) | 0…150 МГц |
| Коэф. отклонения (Коткл.) | 2 мВ/дел…5 В/дел (шаг 1-2-5) | |
| Погрешность установки Коткл. | ± 3 % | |
| Время нарастания | ≤ 2,3 нс | |
| Входной импеданс | 1 МОм (± 2 %) / 22 пФ | |
| Макс. входное напряжение | 300 В (DC+AС пик, до 1 кГц) | |
| Режимы работы | Канал 1, канал 2, канал 1 (2) инвертированный, канал 1 и 2 | |
| Математика | Кан 1 + Кан 2; Канн 1 – Кан 2; БПФ | |
| Канал горизонтального отклонения | Коэф. развертки (Кразв.) | 1 нс/дел…10 с/дел (шаг 1-2-5) |
| Погрешность установки Кразв. | ± 0,01 % | |
| Режимы работы | Основной, окно, ZOOM окна, самописец, X-Y | |
| синхронизация | Источники синхросигнала | Канал 1, канал 2, сеть, внешний |
| Режимы запуска развертки | Автоколебательный, ждущий, однократный, ТВ, пред- (20 дел.) и послезапуск (1000 дел), по времени (100 нс…1,3 мс), по событию (2…65000), по фронту, по длительности импульса | |
| Фильтры синхронизации | фильтр AC, фильтр DC, ФНЧ, ФВЧ, фильтр шума | |
| Внешняя синхронизация | Чувствительность 50 мВ (до 30 МГц), 100 мВ (30…150 МГц) | |
| Вход внешней синхронизации | 1 МОм (± 2 %) / 22 пФ | |
| Аналого-цифровое преобразование | Разрешение по вертикали | 8 бит |
| Частота дискретизации | До 100 Мвыборок/с на канал | |
| Эквив. частота дискретизации | До 25 Гвыборок/с на канал | |
| Длина записи | 125 Кбайт на канал | |
| Пиковый детектор | 10 нс | |
| Режимы работы | Выборка, пик. детектор (> 10 нс); усреднение (2 /…/ 256); накопление; выбор длины записи (0,5 К /…/ 125 К) | |
| Курсорные измерения | Функции | DV; DT; 1/DT |
| Автоматические измерения | Функции по вертикали | V пик-пик; V пик.; V ср. кв.;V ср.; -V; +V; V макс.; V мин. |
| Функции по горизонтали | f; T; t нарастания; t среза; +t; -t; коэф. заполнения | |
| частотомер | Разрешение | 6 разрядов |
| Диапазон измерений | 10 Гц…150 МГц | |
| Погрешность измерения | ± (5 х 10-5 + 1 ед. счета) | |
| Дополнительные возможности | Интерфейс (кроме GDS-820) | RS-232C; GPIB (опция); LPT; USB |
| Синхронизация | Автовыбор синхросигнала (2-кан. режим) | |
| Автоустановка | В/дел, с/дел, параметры синхросигнала | |
| Режим X-Y | Х – кан 1; Y – кан 2; разность фаз < 3° до 100 кГц | |
| Глубокая память | Запись/считывание: 2 осциллограммы; 15 профилей | |
| Функции | Допусковый контроль; обучающий режим; контекстное меню | |
| Общие данные | ЖК-дисплей | 8 ´ 10 дел (разрешение 320 х 240) |
| Напряжение питания | 100…240 В, 48…63 Гц | |
| Габаритные размеры | 254 х 142 х 310 мм | |
| Масса | 4,1 кг | |
| Комплект поставки | Шнур питания (1), делитель 1:1/1:10 (2) |
| Характеристики | Параметры | Значения |
| Канал вертикального отклонения | Полоса пропускания (-3 дБ) | 0…250 МГц |
| Коэф. отклонения (Коткл.) | 2 мВ/дел…5 В/дел (шаг 1-2-5) | |
| Погрешность установки Коткл. | ± 3 % | |
| Время нарастания | ≤ 1,4 нс | |
| Входной импеданс | 1 МОм (± 2 %) / 22 пФ | |
| Макс. входное напряжение | 300 В (DC+AС пик, до 1 кГц) | |
| Режимы работы | Канал 1, канал 2, канал 1 (2) инвертированный, канал 1 и 2 | |
| Математика | Кан 1 + Кан 2; Канн 1 – Кан 2; БПФ | |
| Канал горизонтального отклонения | Коэф. развертки (Кразв.) | 1 нс/дел…10 с/дел (шаг 1-2-5) |
| Погрешность установки Кразв. | ± 0,01 % | |
| Режимы работы | Основной, окно, ZOOM окна, самописец, X-Y | |
| синхронизация | Источники синхросигнала | Канал 1, канал 2, сеть, внешний |
| Режимы запуска развертки | Авто, ждущий, однократный, ТВ, пред- (20 дел.) и послезапуск (1000 дел), по времени (100 нс…1,3 мс), по событию (2…65000), по фронту, по длительности импульса | |
| Фильтры синхронизации | фильтр AC, фильтр DC, ФНЧ, ФВЧ, фильтр шума | |
| Внешняя синхронизация | Чувствительность 50 мВ (до 30 МГц), 100 мВ (30…150 МГц), 150 мВ (150…250 МГц) | |
| Вход внешней синхронизации | 1 МОм (± 2 %) / 22 пФ | |
| Аналого-цифровое преобразование | Разрешение по вертикали | 8 бит |
| Частота дискретизации | До 100 Мвыборок/с на канал | |
| Эквив. частота дискретизации | До 25 Гвыборок/с на канал | |
| Длина записи | 125 Кбайт на канал | |
| Пиковый детектор | 10 нс | |
| Режимы работы | Выборка, пик. детектор (> 10 нс); усреднение (2 /…/ 256); накопление; выбор длины записи (0,5 К /…/ 125 К) | |
| Курсорные измерения | Функции | DV; DT; 1/DT |
| Автоматические измерения | Функции по вертикали | V пик-пик; V пик.; V ср. кв.;V ср.; -V; +V; V макс.; V мин. |
| Функции по горизонтали | f; T; t нарастания; t среза; +t; -t; коэф. заполнения | |
| частотомер | Разрешение | 6 разрядов |
| Диапазон измерений | 10 Гц…250 МГц | |
| Погрешность измерения | ± (5 х 10-5 + 1 ед. счета) | |
| Дополнительные возможности | Интерфейс (кроме GDS-820) | RS-232C; GPIB (опция); LPT; USB |
| Синхронизация | Автовыбор синхросигнала (2-кан. режим) | |
| Автоустановка | В/дел, с/дел, параметры синхросигнала | |
| Режим X-Y | Х – кан 1; Y – кан 2; разность фаз < 3° до 100 кГц | |
| Глубокая память | Запись/считывание: 2 осциллограммы; 15 профилей | |
| Функции | Допусковый контроль; обучающий режим; контекстное меню | |
| Общие данные | ЖК-дисплей | 8 ´ 10 дел (разрешение 320 х 240) |
| Напряжение питания | 100…240 В, 48…63 Гц | |
| Габаритные размеры | 254 х 142 х 310 мм | |
| Масса | 4,1 кг | |
| Комплект поставки | Шнур питания (1), делитель 1:1/1:10 (2) | |
Учитывая все вышесказанное, можно подвести итог, новые цифровые осциллографы компании GOOD WILL instruments, не уступают по технических характеристикам популярным осциллографам серий 1000 и 2000 компании Tektronix, а по некоторым параметрам даже превосходят их. А учитывая соотношение цен между ними, можно предположить, что в ближайшие годы цифровые осциллографы GW Instek составляет серьезную конкуренцию продукции компании Tektronix.
Источник:www.prist.ru










