Радиотехника - это сфера, где всегда происходили более или менее значимые события в способах обработки сигналов, методах их исследования и передачи. Жизнь ставила задачи, а инженерная мысль их решала. В настоящее время уместно говорить о прорыве на рынке телекоммуникаций нашей страны - развертывание новой сети сотовой связи на основе технологии CDMA. CDMA-система использует для передачи данных сложные (шумоподобные) широкополосные цифровые сигналы. Следует отметить, что столь перспективное направление в технике приема и передачи информации - применение шумоподобных сигналов (ШПС) - систематически изучалось русским ученым Д.В. Агеевым еще в 30-х годах уже прошлого столетия, однако практическая реализация полученных им интереснейших результатов была затруднена, а скорее, невозможна в связи с несовершенством активных и пассивных элементов электрических цепей (в частности очень низкими частотами единичного усиления). Еще раз отметим: шумоподобные сигналы - фундамент технологии CDMA.
Ретроспектива систем связи и общие определения
Система сотовой связи - радиотехническая система передачи данных между двумя и более мобильными абонентами в дуплексном режиме. Данные в нашем случае - любая информация, преобразованная (закодированная) в форму, удобную для дальнейшей обработки и передачи в канал связи. Данными может быть речь, цифровые потоки, формируемые компьютером, некоторая служебная информация и др.
Исторически первой системой связи была радиотелефонная сеть с ручным переключением каналов, начавшая свое функционирование в 1946 г. в городе Сент-Луис (США). Аппаратура была очень громоздкой и неудобной, да и качество связи оставляло желать лучшего. C течением времени совершенствовалась аппаратура, наблюдалась тенденция к переходу на более высокие рабочие частоты, где уровень помех значительно меньше, и как следствие появилась радиотелефонная сеть с функцией автоматического определения незанятого канала, т.н. транкинговая сеть. Но с ростом популярности этого вида связи появилась существенная проблема - ограниченность частотного ресурса. Эта проблема и привела ученых и инженеров к идее разбиения зоны обслуживания на небольшие участки - соты. Каждая сота должна была обслуживаться приемо-передатчиком со своим строго определенным набором частот, несовпадающим с частотами передатчиков всех соседних сот. Это позволило использовать без ограничений одинаковый набор частот в сотах, не являющихся соседними. Но, к сожалению, прошло более тридцати лет, прежде данный метод организации подвижной связи был реализован на аппаратном уровне.
Исторически первой системой сотовой связи (система первого поколения) была сеть на основе стандарта NMT (Nordic Mobile Telephone), разработанная тремя странами Скандинавского полуострова, Исландией и Данией. Этот стандарт относится к FDMA-системам. FDMA (Frequency Division Multiple Access - множественный доступ с частотным разделением каналов) - метод доступа к сети, при котором каждому каналу ставилась в соответствие определенная частота для передачи и еще одна - для приема. Т.е. в мобильном телефоне "свой" сигнал выделялся из смеси сигналов частотным фильтром, а модуляция несущей осуществлялась аналоговым сигналом по частоте.
Развитие цифровой обработки сигнала предопределило появление второго поколения систем сотовой связи. Европейскими странами была создана группа ученых (Group Special Mobile) с целью разработки нового стандарта цифровой связи. Результатом их работы было создание системы GSM (1990 г.), которая позже стала расшифровываться как Global System for Mobile communications. Это - TDMA-сеть. TDMA - Time Division Multiple Access (множественный доступ с временным разделением каналов) - протокол, в котором цифровой поток разбивается на пакеты и каждый пакет передается с постоянным периодом в определенном временном окне. В остальных временных окнах передаются сигналы других абонентов сети. Основное достоинство таких сетей - большая помехоустойчивость по сравнению с FDMA-системами, хотя такое сравнение не совсем уместно для систем с аналоговой и цифровой передачей. США также не отставали от Европы и в 1990 г. создали свой стандарт D-AMPS (Digital Advanced Mobile Phone Service). В Японии в 1991 г. появился схожий стандарт JDC (Japanese Digital Cellular).
С появлением цифровых систем связи американская фирма Qualcomm начала разработку принципиально нового стандарта с кодовым разделением каналов (CDMA - Code Division Multiple Access). В отечественных трудах этот метод называется также уплотнение каналов по форме или широкополосная передача с помощью ШПС. Широкополосной эта система называется потому, что полоса частот излучаемого антенной сигнала значительно выше той минимальной полосы частот, необходимой для классических методов модуляции. Например, сигнал с амплитудной модуляцией (АМ) занимает полосу в два раза большую, чем полоса модулирующего сигнала; полоса частот сигнала с одной боковой полосой (ОБП) равна полосе информационного сигнала. Т.е. с первого взгляда кажется нецелесообразным проектировать такого рода систему, где промодулированный сигнал, скажем, занимает полосу частот в 1000 раз больше, чем исходный модулирующий. Однако это предположение в корне ошибочно как минимум по трем причинам. Во-первых, широкополосные сигналы, образованные с помощью различных ШПС, могут иметь одну и ту же среднюю частоту, т.е. передаваться в одной и той же полосе. Например, если информационный сигнал занимает полосу частот 0…10 кГц, то ΔF=10 кГц (в системах сотовой связи примерно это значение имеет место быть). При соответствующей модуляции ШПС этим сигналом полоса сигнала на выходе становится равной 1000П или 10000 кГц. Теоретически при подборе "хороших" ШПС количество таких сигналов, передаваемых в общей полосе частот, можно сравнять с количеством тех же АМ сигналов, которые без взаимных помех размещаются в той же полосе. Т.е. в нашем примере для АМ сигнала требуется полоса 2ΔF=20 кГц и при самой "плотной" упаковке в полосе 10 МГц можно расположить 500 каналов.
Вторая причина, по которой применение ШПС очень выгодна, - это высокая устойчивость к воздействию как широкополосных, так и узкополосных помех, что весьма актуально в условиях напряженной электромагнитной обстановки в пределах большого города. Третья причина - высокая энергетическая скрытность систем с ШПС и, как следствие, высокая конфиденциальность передаваемых данных. Суть сказанного состоит в том, что широкополосный сигнал не только трудно раскодировать - его трудно просто обнаружить, т.е. выявить сам факт работы абонентской станции.
Теоретические сведения о системах с ШПС
Достоинства и недостатки ШПС как переносчиков информации
Подытожив и дополнив сказанное выше, можно определить основные достоинства и недостатки ШПС как носителей информации в системах связи.
Достоинства:
- возможность приема и обработки ШПС при отношениях сигнал/помеха много меньших единицы;
- высокая помехозащищенность как по отношению к широкополосным, так и узкополосным помехам;
- инвариантность к явлению многолучевости в канале связи;
- одновременная работа всех абонентов в общей полосе частот;
- высокая достоверность принимаемой информации;
- высокая энергетическая и структурная скрытность сигнала;
- хорошая электромагнитная совместимость (ЭМС) с другими радиоэлектронными средствами.
Недостатки:
- сложность создания больших систем ШПС, обладающих минимальными взаимокорреляционными функциями;
- применение сложных и дорогостоящих устройств обработки, в частности, согласованных с ШПС фильтров.
Следует отметить, что недостатки ШПС относятся скорее к технической реализации систем связи как таковых и с улучшением элементной базы (применение СБИС, устройств на ПАВ) они не столь существенны. В свою очередь, достоинства ШПС - это неотъемлимые их свойства, заложенные в самой природе данного класса сигналов.
Для того, чтобы пояснить суть преимуществ применения ШПС и в дальнейшем перейти к принципам работы систем подвижной связи с кодовым разделением каналов, необходимо рассмотреть несколько принципиальных моментов, без которых невозможно вести дальнейшее изложение.
Спектры сигналов.
Сигналом называется изменяющаяся во времени физическая величина, отображающая передаваемое сообщение. Чаще всего сигналом является напряжение на некотором участке цепи, поэтому аналитически его можно записать следующим образом: u=u(t), где t - время, u(t) - некоторая однозначно определенная функция.
Сигнал может описываться не только во временной области, но и в частотной - в виде его спектра. Это особенно важно, если сигнал имеет сложную форму. Спектры сигналов определяются по следующей формуле:

где ω=2πf - круговая частота в рад/с;
u(t) - исследуемый сигнал;
g(ω) - функция напряжения от частоты (спектр);
j - мнимая единица.
Периодические сигналы имеют дискретный спектр, непериодические - сплошной. Конечные во времени сигналы имеют бесконечный спектр. Периодические бесконечные во времени сигналы имеют ограниченный спектр.
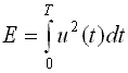
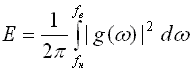
Энергетические параметры сигналов
Энергия сигнала на некотором отрезке времени [0;T], называемом временем наблюдения, определяется выражением

или через спектр

где fн и fв - соответственно нижняя и верхняя частоты спектра сигнала (ограниченный спектр).
Физически энергия сигнала показывает суммарную энергию, выделившуюся на резисторе в 1 Ом, по окончании отрезка наблюдения. Если сигнал наблюдается на всей временной оси, то квадрат сигнала интегрируется по времени в пределах от -∞ до +∞ бесконечности.
Энергия сигнала является определяющим параметром для его помехоустойчивости, т.е. чем больше эта величина, тем при меньших отношениях сигнал/помеха возможен приемлемый по количеству ошибок прием. Из сказанного можно сделать вывод, что помехоустойчивый прием возможен при условии обеспечения необходимой энергии полезного сигнала в оптимальном приемнике, а ее величина, в свою очередь, растет при:
- увеличении времени наблюдения (обработки) сигнала u(t);
- увеличении амплитуды сигнала (величины его спектральных компонент);
- расширении спектра сигнала.
Первый способ хорош, но он приводит к уменьшению результирующей скорости передачи данных и поэтому он мало подходит для систем подвижной связи - он приемлем для приемопередающих систем, где скорость передачи не является решающим фактором (радиоастрономия и др.).
Второй способ улучшения энергетики систем связи - это банальное увеличение мощностей передатчиков, что тем более не подходит для сотовой связи, т.к. очевидно, что в этом случае источники питания абонентской станции (трубки) в режиме разговора будут разряжаться мгновенно.
Третий путь - это применение сигналов с широкими полосами занимаемых частот, намного превышающих полосу информационного сигнала. Такими свойствами обладают ШПС. Этим объясняется высокая помехоустойчивость и скрытность систем связи стандарта CDMA по сравнению с другими стандартами (FDMA, TDMA, FDMA/TDMA и т.д.). Энергия сигнала в CDMA-приемнике доводится до необходимого уровня не за счет увеличения мощностей передатчиков базовых станций и трубок, а за счет суммирования в согласованном с ШПС фильтре гигантского количества маломощных спектральных компонент принимаемого сигнала. Т.е. при тех же качественных показателях, скажем, стандарта GSM и CDMA мощность передатчика последнего во много раз меньше первого и, как следствие, плотность потока мощности ШПС в пространстве во втором случае также меньше, а это, в свою очередь, приводит к тому, что такой сигнал не только сложно раскодировать, но и просто обнаружить: он есть и его как бы нет.
Мощность сигнала - это его энергия приходящаяся на единицу времени (1 с). Определяется эта величина по формуле:

где T - длительность отрезка наблюдения сигнала.
Усредненная по полосе частот спектральная плотность сигнала:

где - ΔF=fв-fн ширина полосы частот занимаемой сигналом.
Спектральная плотность показывает среднюю мощность компонент спектра сигнала в элементарной полосе частот равной 1 Гц. При использовании ШПС очевидно, что величина v очень мала - это определяет хорошую ЭМС с другими радиоэлектронными средствами и возможность работы системы "под шумом".
Авто- и взаимокорреляционные функции сигналов.
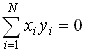
Аналитические описания сигналов и их спектры являются важнейшими и исчерпывающими характеристиками, но в системах передачи информации необходимо иметь некоторые другие, более удобные их характеристики, а именно: автокорреляционную функцию (АКФ) и взаимокорреляционную функцию (ВКФ). Именно они определяют важнейшую особенность систем связи стандарта CDMA - возможность одновременной безпомеховой работы всех абонентов соты в одной полосе частот.
Взаимокорреляционная функция - функция времени, позволяющая судить о степени подобия двух сигналов и имеющая размерность энергии или мощности. ВКФ определяется выражением:

где u1(t), u2(t) - некие сигналы;
τ - временной сдвиг между сигналами;
r12(τ) - ВКФ двух процессов u1(t) и u2(t).
Если u1(t)=u2(t), то выражение для r12(τ) превращается в выражение для АКФ сигнала u(t)=u1(t)=u2(t):

Как видим, АКФ позволяет судить о степени связи (корреляции) сигнала с его сдвинутой во времени копией. При временном сдвиге равном нулю АКФ дает энергию сигнала E.
Т.о. если цифровой поток передавать ставя в соответствие битам информации какой-либо шумовой процесс, то его (поток) во-первых можно будет легко восстанавливать на приемной стороне и работать при этом "под шумом" в силу большой энергии сигнала, а во-вторых, если присвоить каждому абоненту в пределах соты свой собственный вид шумового сигнала, то приемник-коррелятор на базовой станции будет легко различать абонентов, несмотря на работу в одной полосе частот. Это справедливо исходя из того, что ВКФ двух различных случайных процессов близка к нулю при любых временных сдвигах, зато если приемник настроен на прием некоторого сигнала s1(t), то на выходе он будет выдавать ярко выраженный пик только в одном случае - в случае прихода точно такого же сигнала. Правда, полоса излучаемых частот возрастет значительно (для нашего примера приблизительно в 500 раз).
Замечание.
Не следует путать шум-сигнал и шум-помеху: первый формируется специально на передающей стороне - для модуляции цифровым потоком, на приемной стороне - для выделения полезной информации; вторая вредна и создается собственными шумами приемника, атмосферными помехами и т.д. Собственно одной из задач шумового сигнала и является борьба с шумовыми помехами.
Приведенный пример показал суть уплотнения каналов по форме сигнала, однако применение таких сигналов-шумов, как в примере, на данном этапе развития техники приема весьма затруднительно, т.к. такой сигнал сложно "повторить" на приемной стороне, а как в передатчике, так и в приемнике идентичность сигналов должна быть высокой иначе упадет помехоустойчивость системы. В CDMA сигналы с подобными свойствами формируются с помощью регистров сдвига с обратными связями. Чтобы быть точными, приблизительно в 1993 г. появились первые публикации о новых типах сигналов - хаос-сигналах, еще более лучшим образом подходящие для переноса информации в системах связи.
Выводы:
- оптимальный приемник ШПС - приемник корреляционного типа;
- скрытность системы определяется тем, что переносчик информации по сути шум, и в эфире его весьма трудно отличить от сторонних шумов;
- конфиденциальность системы заключается в необходимости знания в случае несанкционированного перехвата точной копии ШПС, используемой на передающей стороне;
- для эффективной работы системы связи необходимо создать систему различных ШПС, которые легко формировались бы на приемной стороне.
Определение ШПС, их разновидности и параметры.
Шумоподобными сигналами называют такие сигналы, у которых произведение ширины спектра F на длительность T много больше единицы. Это произведение является фундаментальным для ШПС и называется базой B:
B=FT.
Шумоподобные сигналы названы так по причине того, что их спектр, как правило очень широк, как у белого шума, и закон изменения огибающей спектра приближен к равномерному, а спектральные компоненты расположены хаотическим образом. Это значит, что и АКФ таких сигналов близки к АКФ шума. ШПС могут формироваться как в цифровых, так и в аналоговых устройствах.
Виды ШПС:
- частотно-модулированные (ЧМ) сигналы;
- многочастотные сигналы;
- фазоманипулированные (ФМ) сигналы;
- дискретные частотные сигналы;
- дискретные составные частотные сигналы.
Для техники цифровой передачи наилучшим образом подходят ФМ сигналы, так как наиболее просто формируются (например, регистрами сдвига с обратными связями). ФМ сигнал представляет собой последовательность радиоимпульсов, начальные фазы которых меняются по определенному закону. Как правило фаза меняется на 0, π рад. Закон изменения фаз представляется импульсной последовательностью со средним значением равным нулю и амплитудой ±1.
Пример ФМ ШПС длиной N=13:

Его АКФ, т.е. сигнал на выходе корреляционного приемника:

Как видим, АКФ идеальна - взаимная энергия сигнала и его сдвинутой копии не превышает 1 Дж, в то время как энергия сигнала равна 13 Дж. Это значит, что сигнал на выходе корреляционного приемника будет больше по амплитуде, чем сигнал на его входе в 13 раз. Этот эффект называется усилением обработки. Заметим, что энергия сигнала не изменяется - она накапливается и по окончании действия сигнала наблюдается всплеск сигнала длительностью всего 1 с. Малость времени корреляции полезного сигнала определяет еще одно, в некоторых случаях крайне важное, если не самое важное, свойство ШПС - инвариантность к явлению многолучевости в канале связи. Многолучевость возникает тогда, когда в точку приема приходит не только один, прямой, луч, а еще несколько отраженных от различных предметов и подстилающей поверхности Земли, что приводит к сильным колебаниям амплитуды принимаемого сигнала и, как правило, полностью нарушает работу системы. Колебания уровня мощности сигнала при этом могут достигать 30…40 дБ и ни одна даже самая совершенная система автоматической регулировки усиления, не сможет полностью нивелировать столь негативный эффект. Многолучевость - бич подвижных систем связи, сколько бы проблем отпало, если бы не наличие столь серьезного ограничения.
ШПС позволяют посмотреть на эту проблему в другой плоскости, а точнее полностью исключить ее из списка проблем. Т.к. на вход коррелятора (согласованного фильтра) поступает основной и несколько задержанных во времени идентичных сигналов, то на его выходе образуется несколько пиков мощности - по одному от каждого сигнала и в принципе уже на этом этапе влияние отраженных сигналов можно исключить, заперев канал приема на некоторое время после того, как на выход прошел первый импульс.

Однако есть одно условие: задержка отраженных сигналов должна быть большей, чем время корреляции. В примере время корреляции - 1 мкс и пики АКФ хорошо различимы и разделимы.
Разработчики стандарта CDMA - инженеры фирмы Qualcomm - пошли еще дальше: они ввели в приемник ШПС раздельную обработку нескольких лучей. В этом случае в каждом канале приема на базовой станции используется 4 параллельно работающих коррелятора, а на подвижной - 3 коррелятора. Это позволяет снизить требования к уровню сигнала в точке приема, кроме того появляется возможность осуществлять мягкий режим "эстафетной передачи" при переходе из соты в соту.
В настоящее время наиболее трудно решаемая задача, с которой сталкиваются разработчики систем подвижной связи, это задача создания больших систем ШПС (несколько миллионов и больше) при базе равной несколько тысяч, десятков тысяч с АКФ, подобной АКФ сигнала в примере и ВКФ стремящейся к нулю. Поэтому стоит сказать что стандарт cdma2000 (как и все другие стандарты, базирующиеся на технологии IS-95) далек от совершенства в этом плане.
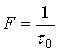
Полоса частот ФМ сигнала определяется по формуле:

где τ0 - длительность элементарного временного интервала ШПС.
В примере τ0=1 с, а Т=13 с, значит база этого сигнала B=FT=13 и равна количеству элементарных составляющих ШПС. Отметим, что это утверждение относится ко всем видам ШПС, тогда упрощается расчет базы сигнала.
Вывод:
- ШПС в цифровых системах передачи информации имеют вид фазоманипулированной на 0, ? рад радиочастотной последовательности;
- Основные типы применяемых на практике ШПС (последовательности максимальной длины и др.) формируются с помощью линейных триггерных схем;
- Полосу частот ШПС определяет длительность элементарной ее составляющей;
- База ШПС равна количеству элементарных временных интервалов, умещающихся в периоде повторения ШПС.
Принципы функционирования сети CDMA
Благодаря достаточно обстоятельному анализу качеств ШПС, нетрудно понять основные принципы работы сети сотовой связи стандарта CDMA (cdma2000, WB-CDMA и др.). В данной статье будем придерживаться уже близкому нам cdma2000.
Оборудование для этого стандарта выпускают компании: Huawei Technologies, Hughes Network Systems, Lucent, Motorola, Nortel, Qualcomm и Samsung. По данным консорциума CDMA Development Group (CDG), выбор оборудования значительно расширится, поскольку производить его начнут многие новые фирмы.
Общая характеристика системы.
Cеть cdma2000 является усовершенствованной в смысле скорости передачи данных сетью стандарта IS-95. Центральными понятиями стандарта cdma2000 в реализации компании Qualcomm являются расширение спектра методом прямой последовательности (Direct Sequence Spread Spectrum), кодирование по Уолшу (Walsh Coding) и управление мощностью. cdma2000 предоставляет широкий спектр традиционных услуг:
АОН блокировка;
фильтрация и переадресация вызовов;
SMS;
трехсторонняя конференц-связь;
цифровая голосовая почта,
а также новые возможности:
высокоскоростная беспроводная передача данных;
мобильная электронная коммерция и онлайновое банковское обслуживание;
полноценный доступ в Интернет через мобильный телефон;
одновременная передача данных и голоса.
Структура и формирование сигналов.
В системе CDMA для преобразования аналогового речевого сигнала в цифровой используется вокодер (Voice Coder - кодер голоса) с переменной скоростью кодирования, в основу работы которого положен алгоритм с линейным предсказанием кода - CELP (Code Excited Linear Predictive). Этот алгоритм лучше учитывает особенности человеческой речи, чем другие. Вокодер перекодирует цифровой поток, имеющий скорость 64 кбит/с (8000 отсчетов речевого сигнала в секунду, умноженные на восьмибитный код каждого отсчета), в поток со скоростью 8,55 кбит/с или 13 кбит/с. В ходе этого преобразования информационный поток делится на кадры, и содержащие паузы интервалы удаляются. Результирующий поток имеет скорость 1…8 кбит/с. Вокодер приемной стороны объединяет кадры в единый поток и делает обратное преобразование. Другой важной особенностью вокодера с переменной скоростью кодирования является использование адаптивного порога для определения требуемой скорости кодирования данных. Уровень порога изменяется в соответствии с фоновым шумом. Результатом этого является подавление фона и улучшение качества речи даже в шумной обстановке. Вокодер позволяет подмешивать в речевой канал вторичный трафик, т. е. служебную информацию. Качество речи в системе CDMA, использующей вокодер QCELP со скоростью кодирования 13 кбит/с, очень близко к качеству речи в проводном канале.
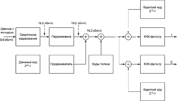
Схема кодирования в прямом канале (от базовой станции к абоненту).
Базовая скорость передачи данных в канале составляет 9,6 кбит/с, что достигается добавлением дополнительных корректирующих двоичных символов к цифровому потоку вокодера 8,55 кбит/с.

Для реализации на приемной стороне прямой коррекции ошибок (без повторной передачи сообщения) в канале используется избыточное кодирование. Для этого базовый цифровой поток разбивается на пакеты длительностью по 20 мс и подается на сверточный кодер с половинной скоростью. На его выходе число битов удваивается. Затем данные перемежаются, т. е. перемешиваются во временном интервале 20 мс. Это делается для того, чтобы равномерно распределить в потоке данных (после обратного перемежения) потерянные во время передачи биты. Известно, что ошибочно принятые символы обычно формируют группы. В то же время, схема прямой коррекции ошибок работает наилучшим образом, когда ошибки распределены равномерно во времени. Это происходит после осуществления на приемной стороне процедуры, обратной перемежению при передаче. После перемежения цифровой поток преобразуется с помощью длинного кода и логической операции "исключающее ИЛИ" (сложение по модулю два). По определению, длинными кодами (кодами максимальной длины - М-последовательностями) являются коды, которые могут быть получены с помощью регистра сдвига или элемента задержки заданной длины. Максимальная длина двоичной последовательности, которая может быть получена с помощью генератора, построенного на основе регистра сдвига, равна 2n-1 двоичных символов, где n - число разрядов регистра сдвига. В аппаратуре стандарта CDMA длинный код формируется в результате нескольких последовательных логических операций с псевдослучайной двоичной последовательностью, генерируемой в 42-разрядном регистре сдвига, и двоичной 32-битовой маской, которая определяется индивидуально для каждого абонента. Такой регистр сдвига применяется во всех базовых станциях этого стандарта для обеспечения режима синхронизации всей сети. Длина М-последовательности при этом составляет 4 398 046 511 103 бит и если ее элементы формируются с тактовой частотой, например, 450 МГц, то период повторения будет составлять 9773,44 с= 2 ч 43 мин. Это значит, что если даже удастся засинхронизировать приемник в случае несанкционированного перехвата, то чтобы определить структуру сигнала-носителя необходимо вести наблюдение в течение почти 3-х часов, а с применением индивидуальной 32-битовой маски "подслушивание" практически исключено. Так как информационный поток имеет скорость 19,2 Кбит/с, то в прямом канале используется только каждый 64-й символ длинного кода. Следующий этап преобразования сообщения - кодирование с помощью кодов Уолша. Любая строка матрицы Уолша ортогональна другой строке. Матрица Уолша размером 2 имеет вид:

Матрицы больших размеров образуются следующим образом:

т.е., например,

Можно показать, что строки матрицы Уолша ортогональны. Ортогональность строк x и y длиной N определяется следующим условием:

По сути в этом случае вычисляется значение ВКФ двух различных строк при временном сдвиге равном нулю.
Один ряд матрицы Уолша ставится в соответствие каналу связи между абонентом и базовой станцией. Если на входе кодера "0", то посылается соответствующий ряд матрицы (код Уолша), если "1" - посылается последовательность, сформированная путем логического отрицания соответствующего ряда матрицы (кода Уолша). При точном совпадении начала пришедшей последовательноcти и имеющейся (строка матрицы W64) наблюдаются пики корреляционной функции положительной и отрицательной полярностей - в зависимости от передаваемого бита. В случае обработки "чужого" сигнала на выходе в момент окончания сигнала не будет ничего, т.е. происходит разделение каналов при приеме абонентской станцией. Кодирование по Уолшу повышает скорость информационного потока с 19,2 Кбит/с до 1,2288 Мбит/с. Соответственно расширяется и спектр сигнала. На заключительном этапе двоичный поток разделяется между синфазным и квадратурным каналами (I- и Q-каналами) для последующей передачи с использованием квадратурной фазовой манипуляции (QPSK). До подачи на смесители цифровой поток в каждом из каналов преобразуется с помощью короткого кода и операции сложения по модулю два.
Короткий код представляет собой псевдослучайную двоичную последовательность длиной 32768 двоичных символов, генерируемую со скоростью 1,3288 Мбит/с. Эта последовательность является общей для всех базовых и подвижных станций в сети. Короткий код формируется в 15-разрядном регистре сдвига с линейной обратной связью. Результирующий двоичный поток в каждом канале проходит через цифровой фильтр с конечной импульсной характеристикой (КИХ-фильтр), что позволяет ограничить полосу излучаемого сигнала. Частота среза фильтра составляет около 615 кГц. Полученные аналоговые сигналы поступают на соответствующие входы I/Q-модулятора. Ряд информационных сигналов образуется путем слияния I- и Q-каналов.
Поскольку все пользователи получают объединенный сигнал, то для выделения информации необходимо передавать опорный сигнал по каналу, получившему название пилотного. В пилотном канале передается нулевой информационный сигнал, код Уолша для этого канала формируется из нулевого ряда матрицы Уолша (все единицы). Другими словами, в пилотном канале передается только короткий код. Обычно на нем излучается около 20% общей мощности. Опорный сигнал необходим для последующей фазовой демодуляции. Короткий код позволяет многократно использовать в каждой ячейке один и тот же набор кодов Уолша. Каждая базовая станция имеет свой временной сдвиг при формировании кода и поэтому может быть однозначно определена в сети. Основано это на уже описанном свойстве псевдослучайных двоичных последовательностей: значение АКФ близко к нулю для всех временных смещений более одной длины бита.
Кодирование в обратном канале.

В обратном канале (от абонента к базовой станции) применяется другая схема кодирования. Подвижная станция не может использовать преимуществ трансляции опорного сигнала. В этом случае необходимо было бы передавать два сигнала, что значительно усложнило бы демодуляцию в приемнике базовой станции. В обратном канале применяется такой же, как и в прямом, вокодер и сверточное кодирование со скоростью 1/3, что повышает скорость передачи данных с базовой 9,6 до 28,8 кбит/с, и перемежение в пакете длительностью 20 мс. После перемежения выходной поток разбивается на слова по шесть битов в каждом. Шестибитовому слову можно поставить в соответствие один из 64 кодов Уолша. Таким образом, каждый абонентский терминал использует весь их набор. После этой операции скорость потока данных повышается до 307,2 Кбит/с. Далее поток преобразуется с помощью длинного кода, аналогичного используемому базовой станцией. На этом этапе происходит разделение пользователей. Абонентская емкость системы определяется обратным каналом. Для ее увеличения применяется регулирование мощности в обратном канале, методы пространственного разнесения приема на базовой станции и др. Окончательное формирование потоков данных происходит таким же образом, как и в базовой станции, за исключением дополнительного элемента задержки на 1/2 длительности символа в Q-канале для реализации смещенной QPSK.
Выводы:
- ШПС в сети cdma2000 передаются не во всей отведенной полосе частот, а в относительно широких частотных участках с полосой F=1,23 МГц;
- частотный разнос между прямым и обратным каналами равен 45 МГц для диапазона 900 и 1800 Мгц;
- код Уолша используется для разделения пользователей в пределах одной соты в прямом канале;
- длинный код предназначен для разделения пользователей одной соты в обратном канале;
- короткий код используется для разделения сигналов разных базовых станций или секторов одной базовой станции.
В нашей стране сеть CDMA судя по всему функционирует в диапазонах 453,0...457,5 МГц (прямой канал) и 463,0...467,5 МГц (обратный канал) - диапазон работы NMT-450i с частотным разносом 10 МГц, хотя точных сведений автор не имеет.
Сеть CDMA полноценно работает в случае точной синхронизации базовой станции и всех абонентских, иначе связь "сыплется". Под синхронизацией понимается:
- единая тактовая частота в системе;
- формирование каждой из последовательностей в строго определённые моменты времени.
Поэтому на всех базовых станциях установлены приемники GPS (Global Positioning System), на выходе которых формируются временные интервалы с точностью 10-10 с.
Управление мощностью абонентских станций.
Абонентская емкость ячейки системы CDMA оптимизируется использованием сложного алгоритма регулировки, который ограничивает мощность, излучаемую каждым абонентским терминалом, до необходимого уровня для получения приемлемой вероятности ошибки. В системе предусматривается три механизма регулировки мощности:
в прямом канале - разомкнутая петля;
в прямом канале - замкнутая петля;
в обратном канале.
Рассмотрим процесс регулирования мощности передающих устройств в обратном канале. Каждая подвижная станция непрерывно передает информацию об уровне ошибок в принимаемом сигнале. На основании этой информации базовая станция распределяет излучаемую мощность между абонентами таким образом, чтобы в каждом случае обеспечить приемлемое качество речи. Абоненты, на пути к которым радиосигнал испытывает большее затухание, получают возможность излучать сигнал большей мощности. Основная цель регулировки мощности в обратном канале - оптимизация площади соты. Регулирование мощности как в прямом, так и в обратном канале влияет и на срок службы аккумуляторов подвижных станций. Проведенные испытания показывали, что средняя излучаемая мощность подвижной станции в CDMA меньше, чем в системах, использующих другие методы доступа. Это непосредственно связано с такими параметрами радиотелефона, как длительность непрерывного занятия канала и время нахождения в режиме ожидания.
Процесс регулирования мощности в прямом канале происходит несколько иначе. В нем возможны два варианта регулирования: по открытому циклу (разомкнутая петля) и по замкнутому циклу (замкнутая петля). Рассмотрим открытый цикл регулирования мощности (менее точный). Подвижная станция после включения ищет сигнал базовой станции. После синхронизации подвижной станции по этому сигналу производится замер его мощности и вычисляется мощность передаваемого сигнала, необходимая для обеспечения соединения с базовой станцией. Вычисления основываются на том, что сумма уровней предполагаемой мощности излучаемого сигнала и мощности принятого сигнала должна быть постоянна и равна -73 дБ. Если уровень принятого сигнала, например, равен -85 дБ, то уровень излученной мощности должен быть равен + 12 дБ. Этот процесс повторяется каждые 20 мс, но он все же не обеспечивает желаемой точности регулировки мощности, так как прямой и обратный каналы работают в разных частотных диапазонах (разнос частот 45 МГц) и, следовательно, имеют различные уровни затухания при распространении и по-разному подвержены воздействию помех.
Рассмотрим процесс регулирования мощности при замкнутом цикле. Механизм регулирования мощности при этом позволяет точно отрегулировать мощность передаваемого сигнала. Базовая станция постоянно оценивает вероятность ошибки в каждом принимаемом сигнале. Если она превышает программно заданный порог, то базовая станция дает команду соответствующей подвижной станции увеличить мощность излучения. Регулировка осуществляется с шагом 1 дБ. Этот процесс повторяется каждые 1,25 мс. Цель такого процесса регулирования заключается в том, чтобы каждая подвижная станция излучала сигнал минимальной мощности, которая достаточна для обеспечения приемлемого качества речи. За счет того, что все подвижные станции излучают сигналы необходимой для нормальной работы мощности, и не более, их взаимное влияние минимизируется, и абонентская емкость системы возрастает. Подвижные станции должны обеспечивать регулирование выходной мощности в широком динамическом диапазоне - до 85 дБ.
Такие факторы, как число пользователей и расстояние до них от базовой станции влияют на значение максимальной излучаемой мощности. Принимая это во внимание, можно сказать, что требования к линейности передаточной функции усилителя мощности, работающего при изменении уровня входного сигнала в пределах 20 дБ, чрезвычайно высоки. Линейность передаточной функции усилителя - фактор, критичный при обеспечении желаемых характеристик системы. Требуемую линейность обеспечивают сложные и дорогостоящие методы линеаризации (усилители с предварительными искажениями или усилители со связью вперед). Спектр излучаемого ШПС, который получается в результате объединения множества кодированных по Уолшу базовых сигналов, близок к спектру шумового сигнала с отношением пикового значения к среднему около 11 дБ. Это означает, что для достижения одинакового качества связи в базовой станции GSM необходим усилитель с выходной мощностью 44 Вт; в стандарте D-AMPS (АDС) это значение снижается до 31 Вт, а в CDMA - до 10 Вт. Поэтому значительный теоретический запас энергопотенциала в радиоканале, который получается за счет использования метода расширения спектра, при сопоставимой практической реализации базового оборудования оказывается значительно меньше. Поэтому системы с кодовым разделением каналов не обеспечивают ожидаемого увеличения площади радиопокрытия базовой станции.
В системе CDMA применяются квадратурная фазовая манипуляция (QPSK) в базовой и смещенная QPSK в подвижных станциях. При этом информация извлекается путем анализа изменения фазы сигнала, поэтому фазовая стабильность системы - критичный фактор при обеспечении минимальной вероятности появления ошибки в сообщениях. Применение смещенной QPSK позволяет снизить требования к линейности усилителя мощности подвижной станции, так как амплитуда выходного сигнала при этом виде модуляции изменяется значительно меньше. До того, как интерференционные помехи будут подавлены методами цифровой обработки сигналов, они должны пройти через высокочастотный тракт приемника и не вызвать насыщения малошумящего широкополосного усилителя (МШУ) и смесителя. Это заставляет разработчиков системы искать баланс между динамическими и шумовыми характеристиками приемника.
CDMA в Беларуси
Начало коммерческой эксплуатации сотовой сети стандарта cdma2000 - 6 февраля 2003 года. Следует ожидать значительный интерес к данному стандарту, т.к. в ближайшее время сеть должна покрыть значительную часть страны. Большая часть достоинств стандарта cdma2000 - это достоинства применения ШПС (а они имеют огромное значение) и к ним еще присоединяется возможность высокоскоростной работы в Интернет. Единственный минус - это не самый лучший частотный диапазон работы (450 МГц). Как бы ни старался оператор, предоставляющий эту услугу, занизить значимость такого факта, всем образованным потребителям понятно, что фоновый шум в этом диапазоне намного выше, чем, скажем, в диапазоне 900 МГц или тем более 1800 МГц. Данная технология, будет справляться с такой проблемой, но до тех пор, пока трафик будет не сильно загружен. Если количество абонентов возрастет значительно, то шансов получить качественную связь будет меньше. Выбор такого диапазона понятен - в наших условия он экономически более оправдан - поэтому лучше иметь что-то, чем ничего. В целом cdma2000 в Беларуси - вещь исключительно хорошая.
По состоянию на 14 апреля 2003 года зона покрытия охватывает столицу и все областные города, обеспечивая бесперебойную работу мобильных телефонов. К концу текущего года компания <БелСел> планирует сделать доступной сотовую связь cdma2000 на территории, где проживает до 90% городского населения страны. В ближайшие месяцы начнут работу система передачи SMS-сообщений и Интернет-система сервиса абонента. С ее помощью клиенты компании получат доступ к своему лицевому счету, а значит, смогут контролировать расходы на мобильную связь, добавлять и удалять дополнительные услуги.
Уже сейчас все абоненты сети могут воспользоваться высокоскоростным доступом в Интернет со скоростью до 153,6 Кбит/с, что открывает новые возможности для деловых людей: быстрый и своевременный доступ к деловой переписке и необходимой информации из любой точки в зоне действия сети, используя ноутбук или карманный компьютер. Несомненный плюс - использование сразу двух телефонных номеров на одном терминале - международный, то есть (029) 4хх-хх-хх и короткий минский 2хх-хх-хх.
Сложилось неверное убеждение, что мобильных телефонов стандарта CDMA 2000, работающих на частоте 450Мгц очень мало, однако это не так. Сейчас компания Белсел предлагает всем Hyundai Curitel H-100/150, который имеет размеры 125х47,3х18 мм и вес 118,6 г со стандартной батареей, что вполне сопоставимо даже с современными телефонами GSM, не говоря уже о терминалах двухгодичной давности.
Hyundai H-100
Hyandai H-100 и Nokia 5110
И это при том, что технология CDMA2000 только начинает свое развитие и коммерческую эксплуатацию.
Так, например, корейский производитель Synertek уже сейчас предлагает модель S200 и S200+, а во втором квартале 2003 года выйдет сразу 5 новинок этой компании, включая модные раскладущки с двумя цветными дисплеями, полифонией и встроенной цифровой камерой.
Synertek S200
Synertek S200plus
Synertek S500
Всемирно известные NEC, Panasonic и Huawei создали совместное предприятие Cosmobic, которые будет разрабатывать и производить мобильные телефоны, работающие на частоте 450Мгц.
В настоящее время модно рассуждать о том, что лучше: сети GSM или сети CDMA. Следует отметить, что хотя и то, и другое предоставляет нам связь, попытка сравнить данные системы, как уже говорилось, не совсем уместна с технической точки зрения - системы работают по совершенно разным принципам. Об этом можно рассуждать только на бытовом уровне: когда-то была хороша сеть NMT, была хороша, пока не появилась сеть GSM; до недавних пор была хороша сеть GSM, но появился еще лучший для потребителей стандарт - CDMA. Если же абстрагироваться и рассматривать системы GSM и CDMA как некие "черные ящики" со своими наборами входных и выходных параметров, то очевидно, что "ящик" CDMA работает намного эффективнее, чем его конкурент по цифре GSM. Дело тут даже не в том, что качество речи выше, примени в GSM вокодер СELP (QCELP) - его можно сравнять, а скорее в понимании, что когда едешь на большой скорости, связь скорее всего не прервется, подслушивать никто не сможет, наконец, 10 мВт у головы более приятно, чем 0,8...2 Вт при пользовании телефоном GSM.
Источники
- Прокис Дж. Цифровая связь. - М.: Радио и связь, 2000.
- Варакин Л.Е. Системы связи с шумоподобными сигналами. - М.: Радио и связь, 1985.
- Радиотехнические цепи и сигналы. // Под ред. Самойло К.А. - М.: Радио и связь, 1982.
Автор:dvv
В.В. Дубровский
г. Минск, Беларусь

